復習備考
| 業務中心: | 0371-55696552 18037153049 |
您的當前位置:魯班培訓-一建培訓,二建培訓,監理,注冊安全工程師等 > 復習備考 > 模擬試卷 >
【建造師】《管理》模擬練習一
作者:河南魯班培訓 來源:未知 瀏覽: 添加日期:2018-08-06
1、下列關于項目管理的說法不正確的是( )。P1-4
A.設計準備階段工作的是編制設計任務書
B.實施階段的項目管理包括設計階段、設計準備階段、施工階段、動用前準備階段
C.編制項目建議書屬于建設工程項目全壽命周期決策階段的工作
D.建設工程項目的全壽命周期包括決策階段、實施階段、保修階段
2、下列關于項目管理的說法正確的是( )。P1-4
A.項目管理的核心任務是項目的目標控制
B.建設工程項目管理的核心任務是為工程的建設和使用增值
C.項目的投資目標、質量目標、進度目標之間統一的
D.決策階段管理工作的主要任務是確定項目的定義
E.項目實施階段管理的主要任務是通過管理使項目的目標得以實現
3、建設工程項目管理的內涵是自項目開始至項目完成,通過項目策劃和項目控制,以使項目的費用目標、進度目標和質量目標得以實現。你對這段話的理解是( )。P3
A.自項目開始至項目完成”指的是項目的施工階段
B.項目策劃指的是目標實施中的籌劃和準備工作
C.費用目標對施工方而言是投資目標,對業主而言是成本目標
D.業主方的項目管理往往是該項目的項目管理的核心
4、在建設工程項目實施過程中,屬于業主方的項目管理包括( )。P4
A.政府的項目管理
B.投資方的項目管理
C.開發方的項目管理
D.監理方的項目管理
E.總承包方的項目管理
5、按照建設工程項目不同參與方的工作性質和組織特征劃分的項目管理類型,施工方的項目管理不包括( )的項目管理。P4
A.施工總承包方
B.建設項目總承包方
C.施工總承包管理方
D.施工分包方
6、下列關于項目管理工作的說法正確的是( )。P2-16
A.設計方的項目管理工作主要在建設工程項目設計階段進行,但也會涉及設計前的準備階段、施工階段、動用前準備階段和保修期
B.業主方的項目管理工作涉及項目實施階段的全過程,即在設計前的準備階段、設計階段、施工階段、動用前準備階段和保修階段
C.供貨方的項目管理工作主要在施工階段進行,但它也涉及設計準備階段、設計階段、動用前準備階段和保修期
D.建設項目工程總承包項目管理工作涉及項目實施階段的全過程,即在設計前的準備階段、設計階段、施工階段、動用前準備階段、保修期
E.施工方的項目管理工作主要在施工階段進行,但它不涉及設計準備階段、設計階段、動用前準備階段和保修期
7、工程總承包項目管理的范圍應由合同約定,其主要內容有( )。P15
A.任命項目經理,組建項目經理部
B.實施設計管理,采購管理
C.籌集建設資金
D.進行范圍管理
E.進行設計任務發包
8、施工總承包單位對施工分包單位管理的內容主要包括( )。P15
A.工期目標
B.質量目標
C.生產管理
D.合同管理
E.信息管理
9、下列關于項目管理的目標說法正確的是( )。P2-16
A.業主方項目管理目標包括質量目標、進度目標、投資目標
B.設計方項目管理目標包括成本目標、進度目標、質量目標、投資目標
C.施工方項目管理目標包括投資目標、進度目標、質量目標
D.工程總承包方管理目標包括投資目標、成本目標、質量目標、進度目標
E.供貨方項目管理目標包括質量目標、進度目標、投資目標
10、關于組織和組織工具的說法不正確的有( )。P17及綜合
A.組織分工一般包含工作任務分工和管理職能分工
B.工作流程圖反映一個組織系統中各項工作之間的指令關系
C.工作流程圖是一種重要的組織工具
D.組織結構模式和組織分工是一種相對靜態的組織關系
11、下列組織工具圖,表示的是項目結構圖,其說法正確的是( )。P18
A.項目結構圖通過樹狀圖的方式對一個項目的結構進行逐層分解
B.項目結構圖能夠反映組成該項目的所有工作任務
C.同一個建設工程項目只能有一個項目結構分解方法
D.項目結構的分解應和整個工程實施的部署相結合,并結合將采用的合同結構
E.項目結構分解考慮到項目進展的總體部署,采用統一的分解方案
12、編制項目投資項編碼、進度項編碼、合同編碼和工程檔案編碼的基礎是( )。P22
A.項目結構圖和項目結構編碼
B.組織結構圖和組織結構編碼
C.工作流程圖和項目結構編碼
D.工作流程圖和組織結構編碼
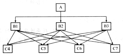
13、下圖所示的組織結構中,A、B1、B2、B3、C5、C6和C7都是工作部門,對其表述正確的有( )。P23
A.A可以對B1、B2、B3下達指令
B.B1、B2、B3都可以在其管理的職能范圍內對C5和C6下達指令
C.C5和C6有多個指令源,并且有些指令可能是矛盾的
D.A可以對C5和C6直接下達指令
E.該圖表示的是直線組織結構
14、某建設工程項目的規模不大,參與單位不多,為提高管理效率,避免出現矛盾指令采用的組織結構模式如下,正確的有( )。P24
A.總經理可直接向業主方項目經理下達指令
B.業主代表必須通過業主方項目經理下達指令
C.施工單位不可直接接受總經理指令
D.設計單位可直接接受業主方項目經理的指令
E.咨詢單位的惟一指令來源是業主方項目經理
15、某施工企業組織結構如下圖,關于該組織結構模式特點的說法,正確的是( )。P25
A.每一項縱向和橫向交匯的工作只有一個指令源
B.當縱向和橫向工作部門的指令發生矛盾時,以橫向部門指令為主
C.當縱向和橫向工作部門的指令發生矛盾時,由總經理進行決策
D.當縱向和橫向工作部門的指令發生矛盾時,以縱向部門指令為主
16、下列關于組織結構模式的說法中,正確的是( )。P23-25
A.職能組織結構中每個工作部門會有兩個矛盾的指令源
B.職能組織結構中職能部門可以給非直接的下屬部門下達工作指令
C.線性組織結構適用于大的系統
D.在線性組織結構中,不允許越級或跨部門下達工作指令
E.在矩陣組織結構中,為了避免矛盾的指令,可以規定以橫向或縱向指令為主
17、關于項目結構圖和組織結構圖的說法,正確的有( )。P18-23
A.項目結構圖中,矩形框表示工作任務
B.組織結構圖中,矩形框表示工作部門
C.項目結構圖中,用雙向箭線連接矩形框
D.組織結構圖中,用直線連接矩形框
E.項目結構圖和組織結構圖都是組織工具
18、關于組織工具的說法不正確的是( )。P26
A.反映一個組織系統中各子系統之間或各元素之間指令關系的組織工具是組織結構模式
B.反映各工作單位、各工作部門和各工作人員之間組織關系的組織工具是項目管理的組織結構圖
C.在建設工程項目管理中,反映一個組織系統中各項工作之間邏輯關系的是工作流程圖
D.可以明確各項工作任務由哪個工作部門(或個人)負責,由哪些工作部門(或個人)配合或參與的組織工具是合同結構圖
19、關于項目管理工作任務分工表特點的說法,不正確的是( )。P27
A.每一個部門只能有一個主辦部門
B.每一個任務只能有一個協辦部門和一個配合部門
C.項目運營部應在項目竣工后介入工作
D.項目管理工作任務分工表應作為組織設計文件的一部分
E.在編制項目管理任務分工表前,對項目實施各階段的任務進行詳細的分解
20、項目技術組針對施工進度滯后的情況,提出了增加夜班作業、改變施工方法兩種加快進度的方案,項目經理通過比較,確定采用增加夜班作業以加快速度,物資組落實了夜間施工照明等條件,安全組隊夜間施工安全條件進行了復查,上述管理工作體現在管理職能中“籌劃”環節的有( )。P31
A.提出兩種可能加快進度的方案
B.確定采用夜間施工加快進度的方案
C.復查夜間施工安全條件
D.落實夜間施工照明條件
E.兩者方案的比較分析
A.設計準備階段工作的是編制設計任務書
B.實施階段的項目管理包括設計階段、設計準備階段、施工階段、動用前準備階段
C.編制項目建議書屬于建設工程項目全壽命周期決策階段的工作
D.建設工程項目的全壽命周期包括決策階段、實施階段、保修階段
2、下列關于項目管理的說法正確的是( )。P1-4
A.項目管理的核心任務是項目的目標控制
B.建設工程項目管理的核心任務是為工程的建設和使用增值
C.項目的投資目標、質量目標、進度目標之間統一的
D.決策階段管理工作的主要任務是確定項目的定義
E.項目實施階段管理的主要任務是通過管理使項目的目標得以實現
3、建設工程項目管理的內涵是自項目開始至項目完成,通過項目策劃和項目控制,以使項目的費用目標、進度目標和質量目標得以實現。你對這段話的理解是( )。P3
A.自項目開始至項目完成”指的是項目的施工階段
B.項目策劃指的是目標實施中的籌劃和準備工作
C.費用目標對施工方而言是投資目標,對業主而言是成本目標
D.業主方的項目管理往往是該項目的項目管理的核心
4、在建設工程項目實施過程中,屬于業主方的項目管理包括( )。P4
A.政府的項目管理
B.投資方的項目管理
C.開發方的項目管理
D.監理方的項目管理
E.總承包方的項目管理
5、按照建設工程項目不同參與方的工作性質和組織特征劃分的項目管理類型,施工方的項目管理不包括( )的項目管理。P4
A.施工總承包方
B.建設項目總承包方
C.施工總承包管理方
D.施工分包方
6、下列關于項目管理工作的說法正確的是( )。P2-16
A.設計方的項目管理工作主要在建設工程項目設計階段進行,但也會涉及設計前的準備階段、施工階段、動用前準備階段和保修期
B.業主方的項目管理工作涉及項目實施階段的全過程,即在設計前的準備階段、設計階段、施工階段、動用前準備階段和保修階段
C.供貨方的項目管理工作主要在施工階段進行,但它也涉及設計準備階段、設計階段、動用前準備階段和保修期
D.建設項目工程總承包項目管理工作涉及項目實施階段的全過程,即在設計前的準備階段、設計階段、施工階段、動用前準備階段、保修期
E.施工方的項目管理工作主要在施工階段進行,但它不涉及設計準備階段、設計階段、動用前準備階段和保修期
7、工程總承包項目管理的范圍應由合同約定,其主要內容有( )。P15
A.任命項目經理,組建項目經理部
B.實施設計管理,采購管理
C.籌集建設資金
D.進行范圍管理
E.進行設計任務發包
8、施工總承包單位對施工分包單位管理的內容主要包括( )。P15
A.工期目標
B.質量目標
C.生產管理
D.合同管理
E.信息管理
9、下列關于項目管理的目標說法正確的是( )。P2-16
A.業主方項目管理目標包括質量目標、進度目標、投資目標
B.設計方項目管理目標包括成本目標、進度目標、質量目標、投資目標
C.施工方項目管理目標包括投資目標、進度目標、質量目標
D.工程總承包方管理目標包括投資目標、成本目標、質量目標、進度目標
E.供貨方項目管理目標包括質量目標、進度目標、投資目標
10、關于組織和組織工具的說法不正確的有( )。P17及綜合
A.組織分工一般包含工作任務分工和管理職能分工
B.工作流程圖反映一個組織系統中各項工作之間的指令關系
C.工作流程圖是一種重要的組織工具
D.組織結構模式和組織分工是一種相對靜態的組織關系
11、下列組織工具圖,表示的是項目結構圖,其說法正確的是( )。P18
A.項目結構圖通過樹狀圖的方式對一個項目的結構進行逐層分解
B.項目結構圖能夠反映組成該項目的所有工作任務
C.同一個建設工程項目只能有一個項目結構分解方法
D.項目結構的分解應和整個工程實施的部署相結合,并結合將采用的合同結構
E.項目結構分解考慮到項目進展的總體部署,采用統一的分解方案
12、編制項目投資項編碼、進度項編碼、合同編碼和工程檔案編碼的基礎是( )。P22
A.項目結構圖和項目結構編碼
B.組織結構圖和組織結構編碼
C.工作流程圖和項目結構編碼
D.工作流程圖和組織結構編碼
13、下圖所示的組織結構中,A、B1、B2、B3、C5、C6和C7都是工作部門,對其表述正確的有( )。P23
A.A可以對B1、B2、B3下達指令
B.B1、B2、B3都可以在其管理的職能范圍內對C5和C6下達指令
C.C5和C6有多個指令源,并且有些指令可能是矛盾的
D.A可以對C5和C6直接下達指令
E.該圖表示的是直線組織結構
14、某建設工程項目的規模不大,參與單位不多,為提高管理效率,避免出現矛盾指令采用的組織結構模式如下,正確的有( )。P24
A.總經理可直接向業主方項目經理下達指令
B.業主代表必須通過業主方項目經理下達指令
C.施工單位不可直接接受總經理指令
D.設計單位可直接接受業主方項目經理的指令
E.咨詢單位的惟一指令來源是業主方項目經理
15、某施工企業組織結構如下圖,關于該組織結構模式特點的說法,正確的是( )。P25
A.每一項縱向和橫向交匯的工作只有一個指令源
B.當縱向和橫向工作部門的指令發生矛盾時,以橫向部門指令為主
C.當縱向和橫向工作部門的指令發生矛盾時,由總經理進行決策
D.當縱向和橫向工作部門的指令發生矛盾時,以縱向部門指令為主
16、下列關于組織結構模式的說法中,正確的是( )。P23-25
A.職能組織結構中每個工作部門會有兩個矛盾的指令源
B.職能組織結構中職能部門可以給非直接的下屬部門下達工作指令
C.線性組織結構適用于大的系統
D.在線性組織結構中,不允許越級或跨部門下達工作指令
E.在矩陣組織結構中,為了避免矛盾的指令,可以規定以橫向或縱向指令為主
17、關于項目結構圖和組織結構圖的說法,正確的有( )。P18-23
A.項目結構圖中,矩形框表示工作任務
B.組織結構圖中,矩形框表示工作部門
C.項目結構圖中,用雙向箭線連接矩形框
D.組織結構圖中,用直線連接矩形框
E.項目結構圖和組織結構圖都是組織工具
18、關于組織工具的說法不正確的是( )。P26
A.反映一個組織系統中各子系統之間或各元素之間指令關系的組織工具是組織結構模式
B.反映各工作單位、各工作部門和各工作人員之間組織關系的組織工具是項目管理的組織結構圖
C.在建設工程項目管理中,反映一個組織系統中各項工作之間邏輯關系的是工作流程圖
D.可以明確各項工作任務由哪個工作部門(或個人)負責,由哪些工作部門(或個人)配合或參與的組織工具是合同結構圖
19、關于項目管理工作任務分工表特點的說法,不正確的是( )。P27
A.每一個部門只能有一個主辦部門
B.每一個任務只能有一個協辦部門和一個配合部門
C.項目運營部應在項目竣工后介入工作
D.項目管理工作任務分工表應作為組織設計文件的一部分
E.在編制項目管理任務分工表前,對項目實施各階段的任務進行詳細的分解
20、項目技術組針對施工進度滯后的情況,提出了增加夜班作業、改變施工方法兩種加快進度的方案,項目經理通過比較,確定采用增加夜班作業以加快速度,物資組落實了夜間施工照明等條件,安全組隊夜間施工安全條件進行了復查,上述管理工作體現在管理職能中“籌劃”環節的有( )。P31
A.提出兩種可能加快進度的方案
B.確定采用夜間施工加快進度的方案
C.復查夜間施工安全條件
D.落實夜間施工照明條件
E.兩者方案的比較分析
| 1.D | 2.ABDE | 3.D | 4.BCD | 5.B | 6.ABCD | 7.ABD | 8.AB | 9.ABD | 10.B |
| 11.ABD | 12.A | 13.ABCD | 14.BCDE | 15.D | 16.BDE | 17.ABE | 18.D | 19.ABC | 20.AE |
- 上一篇:【建造師】《法規》模擬練習一
- 下一篇:消防工程師《案例分析》模擬試卷二
鄭州




